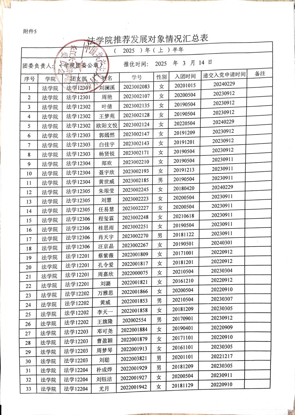
经党员和群众推荐、团组织推优,支部委员会(不设支部委员会的由支部大会)研究决定,报学院分团委审核同意,拟推荐刘澜溪等48名同志为发展对象人选,特在全院范围内进行公示。
欢迎广大师生员工在公示期内,根据公示对象的政治表现、道德品质、工作学习、遵纪守法和社会公德及廉洁自律等方面的情况,通过来电、来函或直接向学院分团委反映公示对象存在的问题。反映的情况,要有事实依据。
公示时间:2025年3月14日至2025年3月20日(5个工作日)。
公示期间电话:0716-8061161
电子邮箱:1335157289@qq.com
附:《77779193永利官网推荐发展对象情况汇总表》


中国共产主义青年团77779193永利官网委员会
2025年3月14日